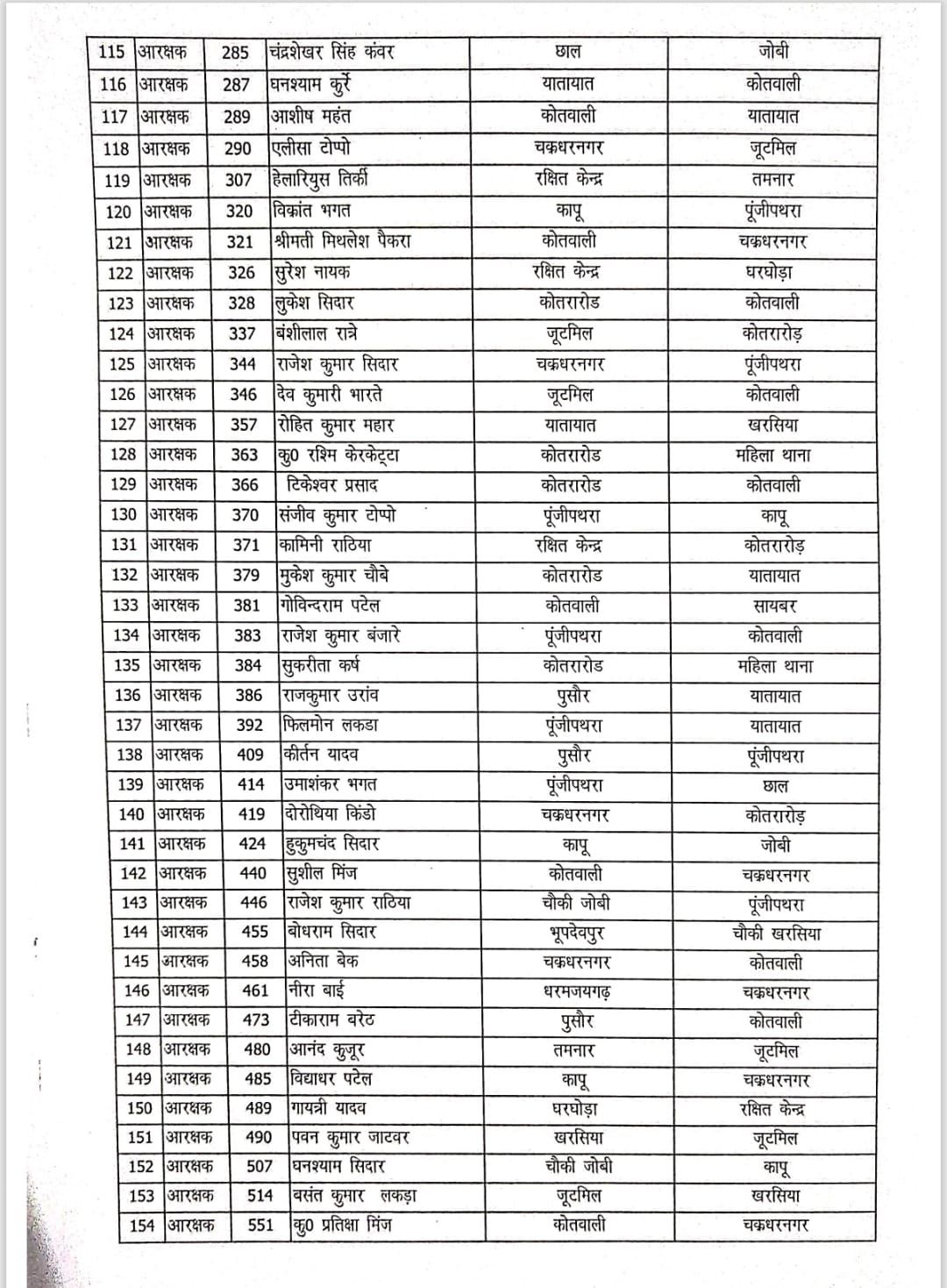
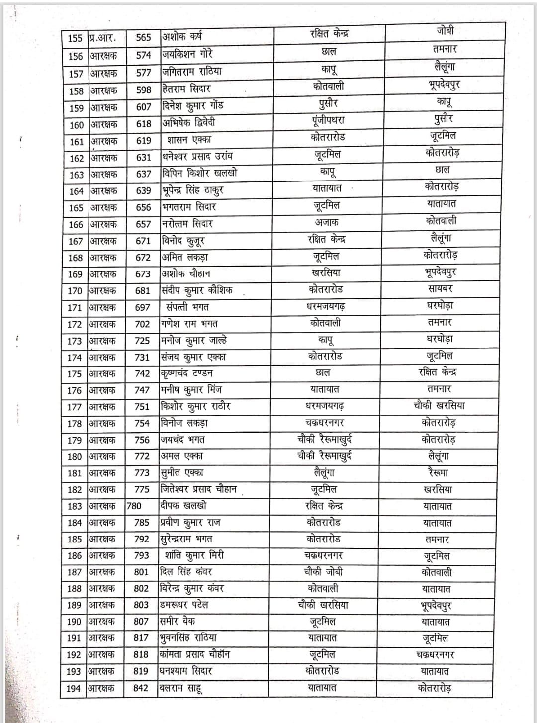
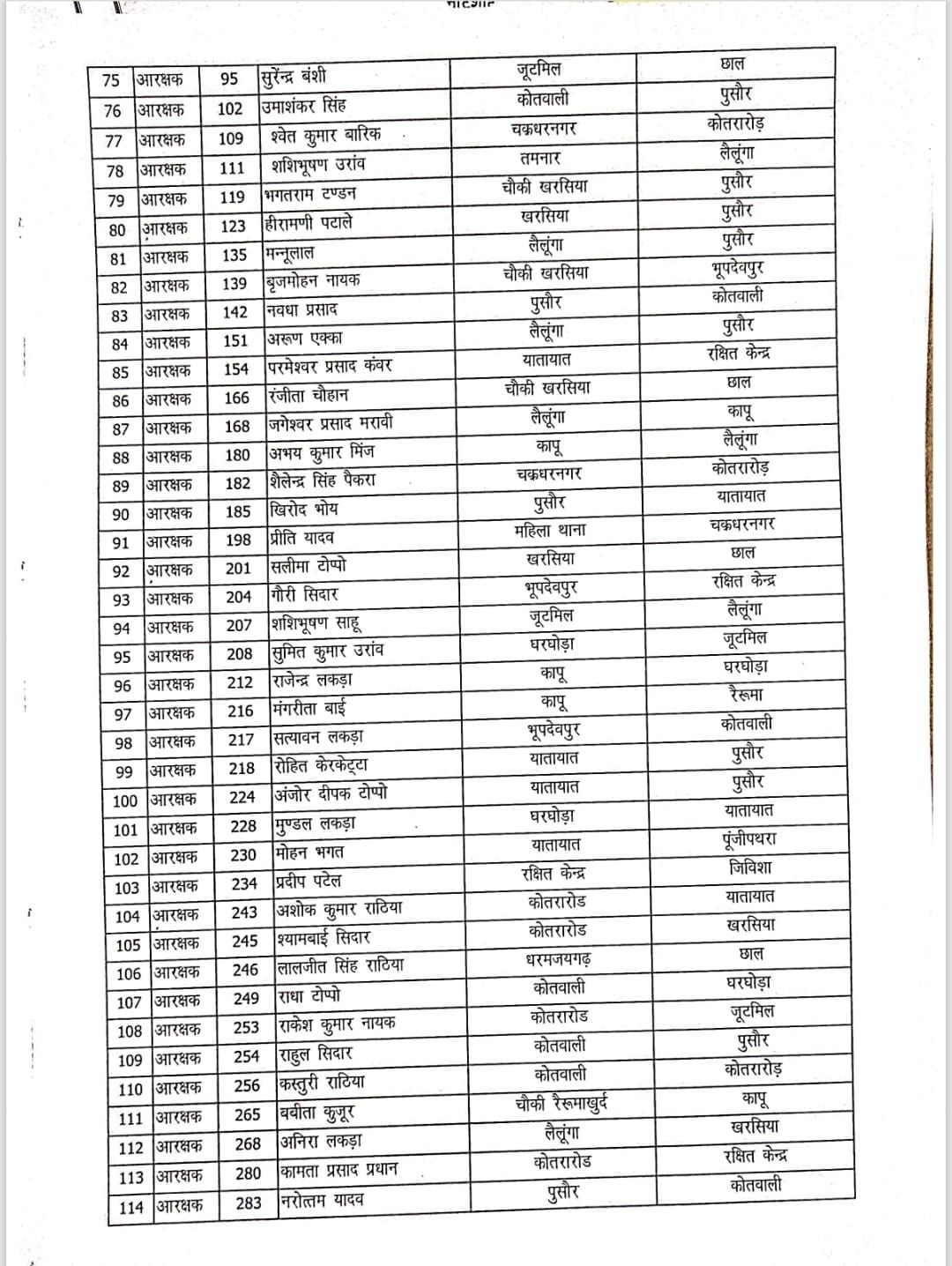
रायगढ़ :- जिले के पुलिस विभाग में बड़ा प्रशासनिक फेरबदल किया गया है। वरिष्ठ पुलिस अधीक्षक शशि मोहन सिंह द्वारा जारी आदेश के तहत उप निरीक्षक, सहायक उप निरीक्षक, प्रधान आरक्षक एवं आरक्षकों के तबादले किए गए हैं।जारी तबादला सूची में कई पुलिसकर्मियों को नई जिम्मेदारियां सौंपी गई हैं। प्रशासनिक व्यवस्था को मजबूत बनाने और विभिन्न थानों में कार्य प्रणाली को संतुलित करने के उद्देश्य से यह तबादला आदेश जारी किया गया है।
पुलिस अधीक्षक कार्यालय से जारी आदेश के अनुसार सभी स्थानांतरित अधिकारियों एवं कर्मचारियों को निर्देशित किया गया है कि वे तत्काल प्रभाव से अपने नवीन पदस्थापना स्थल पर उपस्थित होकर कार्यभार ग्रहण करें।इस प्रशासनिक बदलाव से जिले के विभिन्न थानों में कार्य व्यवस्था को और अधिक प्रभावी बनाने की उम्मीद जताई जा रही है।







